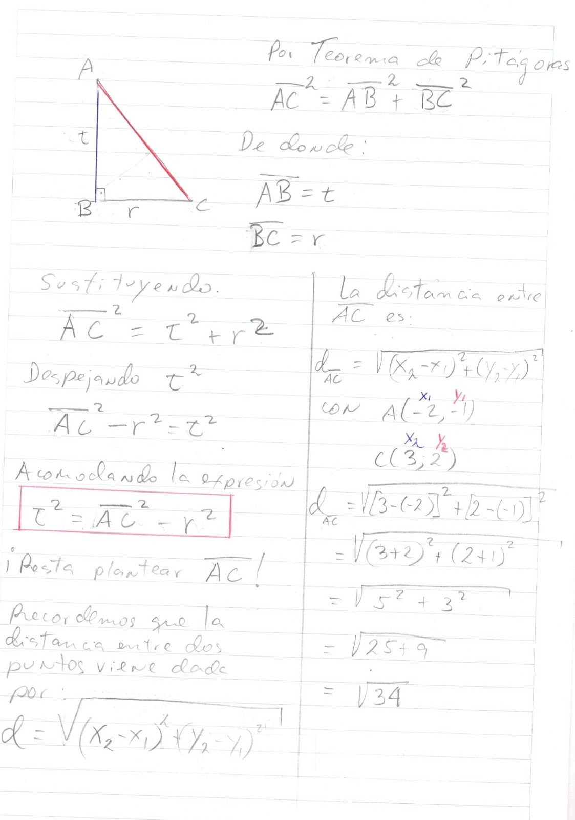
Distancia entre un punto externo a una circunferencia y un punto de tangencia


El presente ejercicio fue desarrollado a petición de un estudiante, por ello me expreso como dirigiendo la explicación a una persona en específico (Adrián). Pido disculpa por la calidad y los detalles que pueda tener el video, pero ya iremos mejorando (este es el primero)

Aquí el desarrollo del ejercicio....


Aquí la completación de cuadrados para obtener las coordenadas del centro de la circunferencia así como el radio


Imágenes correspondientes al desarrollo del ejercicio en papel


No hay comentarios.:

Publicar un comentario